meta data for this page
lamaPLC: TEC / Peltier Elements
A TEC (thermoelectric cooler) or Peltier cooler is a solid-state electronic device that uses the Peltier effect to transfer heat, providing both heating and cooling without moving parts such as compressors. Applying a direct electrical current moves heat from one side of the module to the other. This creates a “cold side” and a “hot side,” making them useful for applications that require precise temperature control of individual components.
How it works
- Structure: The device consists of multiple pairs of P-type and N-type semiconductor “legs” sandwiched between two ceramic plates.
- Peltier effect: When a DC electrical current passes through these legs, it forces heat to flow from one side to the other.
- Hot and cold sides: One side cools while the other heats up, depending on the direction of the current.
- Heat dissipation: The “hot side” must be coupled with a heat sink and fan to dissipate the heat effectively. Without proper heat sinking, the device can be damaged.
Key characteristics
- Solid-state: It has no moving parts, making it reliable and quiet.
- Versatile: It can be used for both cooling and heating, and can also generate DC power (though less efficiently).
- Compact: Its small size is ideal for cooling temperature-sensitive components like CPUs, laser diodes, or voltage references.
If you'd like to support the development of the site with the price of a coffee — or a few — please do so here.
Here's a handy tip: you can quickly save this page as a PDF by clicking “export to PDF” in the menu on the right side of the screen.
Typical sizes
Typical TEC / Peltier Elements characteristic
Performance curve (TEC1-12703) when hot surface temperature Th = 27°C or 50°C
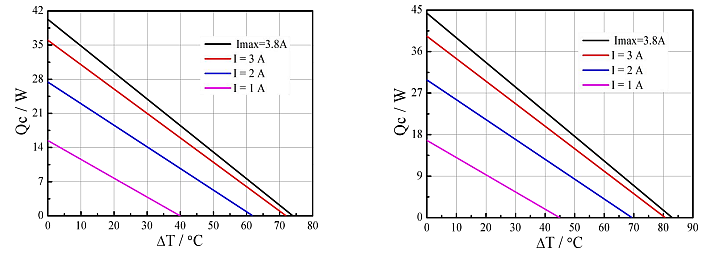
Performance diagram (TEC1-12703) of cooling power changes with temperature difference under different currents Qc=f(DT)
Performance diagram (TEC1-12703) of voltage changing with temperature difference under different currents V=f(DT)
Performance curve (TEC1-12703) when hot surface temperature Th=27°C or 50°C
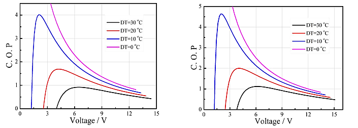
Performance diagram of temperature difference range 0-30°C. Cooling coefficient changes with voltage COP=f(V)
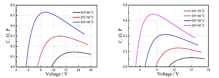
Performance curve (TEC1-12703) when hot surface temperature Th=27°C or 50°C
Performance diagram of temperature difference range 40~60/70°C. Cooling coefficient changes with voltage COP=f(V)
TEC series
| Name | Couples | Size | Weight | Imax | Umax | Resistance | ΔT max | Qmax (ΔT =0) | max COP |
|---|---|---|---|---|---|---|---|---|---|
| TEC1-12703 | 127 | 40x40x4.7 mm | 31 g | 3 A | 15.4 V | 3.2-3.7 Ω | 66 °C | 38.0 W | 0.63 |
| TEC1-12704 | 127 | 40x40x4.7 mm | 31 g | 4 A | 15.4 V | 2.85 Ω | 66 °C | 33.4 W | - |
| TEC1-12705 | 127 | 40x40x4.0 mm | 29 g | 5.3 A | 15.4 V | 2.20 Ω | 75 °C | 57.0 W | - |
| TEC1-12706 | 127 | 40x40x3.9 mm | 27 g | 6.4 A | 15.4 V | 2.3 Ω | 75 °C | 57.0 W | 0.61 |
| TEC1-12707 | 127 | 40x40x3.5 mm | 25 g | 7.4 A | 15.4 V | 1.80 Ω | 68 °C | 75.0 W | - |
| TEC1-12708 | 127 | 40x40x3.5 mm | 23 g | 8.5 A | 15.4 V | 1.55 Ω | 68 °C | 85.0 W | - |
| TEC1-12710 | 127 | 40x40x3.3 mm | 26 g | 10.5 A | 15.4 V | 1.08 Ω | 68 °C | 100.0 W | - |
| TEC1-12715 | 127 | 40x40x3.9 mm | 50 g | 15.6 A | 15.4 V | 0.80 Ω | 68 °C | 150 W | 0.73 |
| TEC1-26316 | 263 | 50x50x3.1 mm | 65 g | 16 A | 31.5 V | 1.60 Ω | 66 °C | 300 W | - |
| TEC1-12730 | 263 | 62x62x3.9 mm | 90 g | 30.7 A | 15.4 V | 0.35 Ω | 68 °C | 350 W | - |
| TEC1-06306 | 63 | 40x20x3.9 mm | 17 g | 6 A | 7.6 V | 1.05 Ω | 63 °C | 42 W | - |
| TEC1-06308 | 63 | 40x20x3.9 mm | 17 g | 8.5 A | 7.6 V | 0.75 Ω | 63 °C | 32 W | - |
| TEC1-06310 | 63 | 40x20x3.3 mm | 17 g | 7.5 A | 7.5 V | 0.65 Ω | 63 °C | 45 W | - |
| TEC1-06312 | 63 | 40x20x3.1 mm | 17 g | 9.5 A | 7.5 V | 0.55 Ω | 63 °C | 55 W | - |
| TEC1-04901 | - | 20x20x4.9 mm | - | 1 A | 5 V | 5 Ω | 50 °C | 5 W | - |
| TEC1-04902 | - | 20x20x4.5 mm | - | 2 A | 5 V | 2.5 Ω | 55 °C | 10 W | - |
| TEC1-04903 | - | 20x20x3.7 mm | - | 3 A | 5 V | 1.7 Ω | 60 °C | 15 W | - |
| TEC1-04904 | - | 20x20x3.5 mm | - | 4 A | 5 V | 1.3 Ω | 60 °C | 20 W | - |
| TEC1-04905 | - | 20x20x3.1 mm | - | 5 A | 5 V | 1 Ω | 60 °C | 25 W | - |
| TEC1-04906 | - | 20x20x3.1 mm | - | 6 A | 5 V | 0.83 Ω | 60 °C | 30 W | - |

